服務熱線
0374-8622418
400-002-2226
行業從業經驗
34年已獲得的國家專利
36項目前已有的產品型號
200多個目前生產設備
3000套
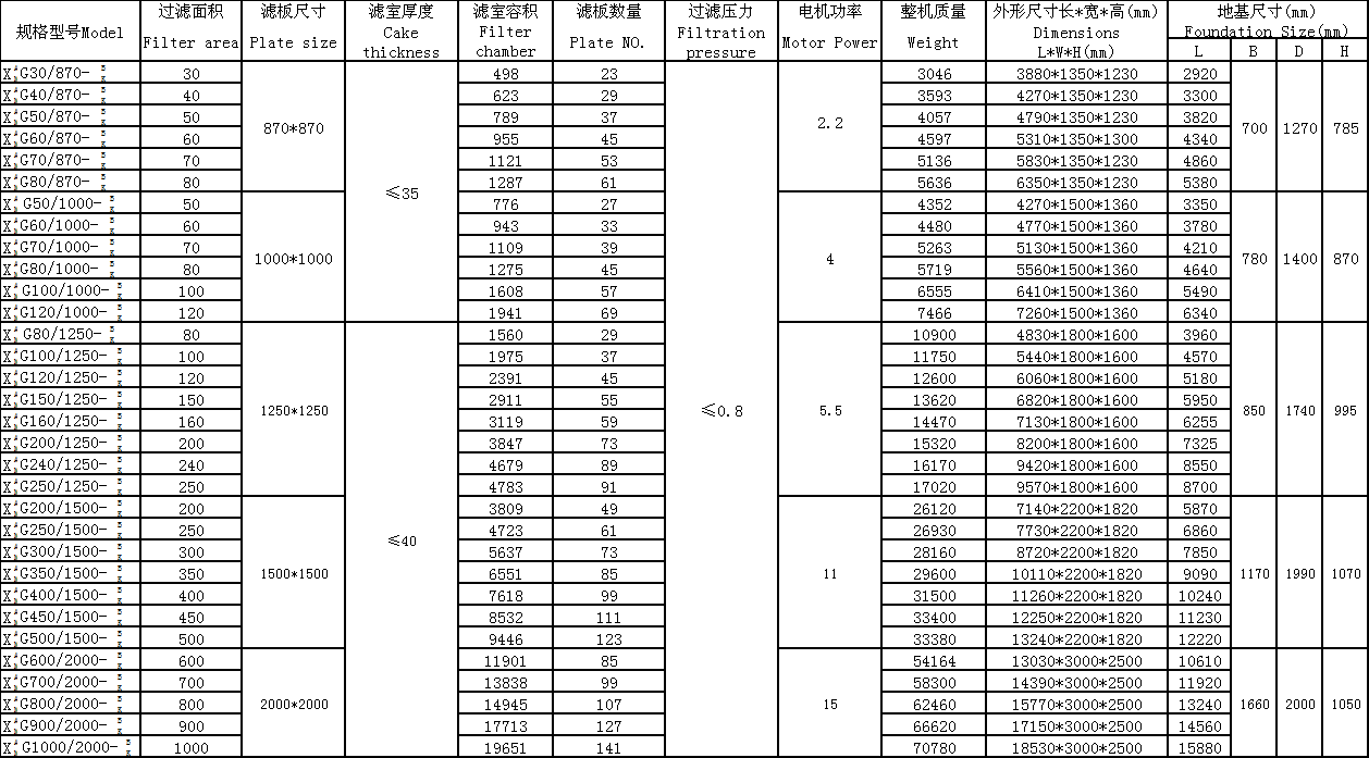
大張牌高壓隔膜壓濾機采用TPE隔膜技術,壽命長,穩定性好,通用性好,適用于多種行業。采用水壓或氣壓壓榨,壓力可達到0.8-2.0MPa。
可變濾室技術在化工、醫藥、礦山等行業固液分離應用中,極大提高生產效率,降低含水率。
高壓脫水技術在污泥脫水行業應用,濾餅含水率 低降低到符合填埋、焚燒標準(不同行業含水率有所變化),相比傳統的脫水設備,濾餅重量體積減少一半;
整機可實現全自動化運行,配置濾布在線沖洗系統及電控閥門儀表,可實現無人值守。